SOBEL

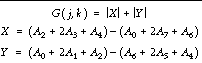
The SOBEL function implements an approximation of the 3 by 3, nonlinear edge-enhancement operator:

Where the pixels surrounding the neighborhood of the pixel F ( j, k ) are numbered as follows:

The result of this function is a two-dimensional array of short integer type, with the same dimensions as Image . Large original data values cause overflow if the absolute value of the result is larger than 32768.

It should be noted that the previous description is not the true definition of the Sobel function, but a fast approximation, defined as:

Calling Sequence

Result = SOBEL( Image )

Arguments

Image

The two-dimensional array containing the image to which edge enhancement will be applied.

Example

If the variable IM contains an image, a Sobel edge-enhanced version can be displayed with the command:

TVSCL, SOBEL(IM)

See Also

ROBERTS