TANH

The TANH function returns the hyperbolic tangent of X.

Calling Sequence

Result = TANH( X )

Arguments

X

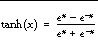
The value for which the hyperbolic tangent is desired, specified in radians. If X is double-precision floating-point, the result is also double-precision. Complex values are not allowed. All other types are converted to single-precision floating-point and yield floating-point results. TANH is defined as:

If X is an array, the result has the same structure, with each element containing the hyperbolic tangent of the corresponding element of X .

Example

PRINT, TANH(1) ; Find the hyperbolic tangent of 1 radian and print the result.

PLOT, TANH(FINDGEN(101)/10. - 5) ; Plot the hyperbolic tangent from -5 to +5 with an increment of 0.1.

See Also

ATAN , TAN