GAUSSINT

The GAUSSINT function evaluates the integral of the Gaussian probability function and returns the result.

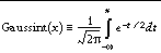
The Gaussian integral is defined as:

If X is double-precision, the result is double-precision, otherwise the argument is converted to floating-point and the result is floating-point. The result has the same structure as the input argument, X .

Calling Sequence

Result = GAUSSINT( X )

Arguments

X

The expression for which the Gaussian integral is to be evaluated.

Example

Plot the Gaussian probability function over the range -5 to 5 with a step size of 0.1by entering:

X = FINDGEN(101)/10. - 5.

PLOT, X, GAUSSINT(X)

See Also

GAUSS_CVF , GAUSS_PDF