A_CORRELATE

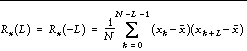
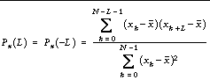
The A_CORRELATE function computes the autocorrelation Px ( L ) or autocovariance Rx ( L )of a sample population X as a function of the lag L .

where ` x is the mean of the sample population x = ( x 0 , x 1 , x 2 , ... , x N-1 ).

This routine is written in the IDL language. Its source code can be found in the file a_correlate.pro in the lib subdirectory of the IDL distribution.

Calling Sequence

Result = A_CORRELATE( X, Lag )

Arguments

X

An n -element integer, single-, or double-precision floating-point vector.

Lag

An n -element integer vector in the interval [-( n -2), ( n -2)], specifying the signed distances between indexed elements of X .

Keywords

COVARIANCE

Set this keyword to compute the sample autocovariance rather than the sample autocorrelation.

DOUBLE

Set this keyword to force the computation to be done in double-precision arithmetic.

Example

Define an n -element sample population.

X = [3.73, 3.67, 3.77, 3.83, 4.67, 5.87, 6.70, 6.97, 6.40, 5.57]

Compute the autocorrelation of X for LAG = -3, 0, 1, 3, 4, 8

lag = [-3, 0, 1, 3, 4, 8]

result = A_CORRELATE(X, lag)

PRINT, result

IDL prints:

0.0146185  1.00000  0.810879  0.0146185  -0.325279  -0.151684

See Also

CORRELATE , C_CORRELATE , M_CORRELATE , P_CORRELATE , R_CORRELATE