C_CORRELATE

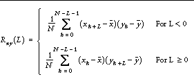
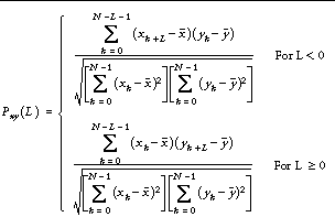
The C_CORRELATE function computes the cross correlation Pxy ( L ) or cross covariance Rxy ( L ) of two sample populations X and Y as a function of the lag L .

where ` x and ` are the means of the sample populations x = ( x 0 , x 1 , x 2 , ... , x N-1 ) and y = ( y 0 , y 1 , y 2 , ... , y N-1 ), respectively.

This routine is written in the IDL language. Its source code can be found in the file c_correlate.pro in the lib subdirectory of the IDL distribution.

Calling Sequence

Result = C_CORRELATE( X, Y, Lag )

Arguments

X

An n -element integer, single-, or double-precision floating-point vector.

Y

An n -element integer, single-, or double-precision floating-point vector.

Lag

A scalar or n -element integer vector in the interval [-( n -2), ( n -2)], specifying the signed distances between indexed elements of X .

Keywords

COVARIANCE

Set this keyword to compute the sample cross covariance rather than the sample cross correlation.

DOUBLE

Set this keyword to force the computation to be done in double-precision arithmetic.

Example

Define two n-element sample populations.

X = [3.73, 3.67, 3.77, 3.83, 4.67, 5.87, 6.70, 6.97, 6.40, 5.57]

Y = [2.31, 2.76, 3.02, 3.13, 3.72, 3.88, 3.97, 4.39, 4.34, 3.95]

Compute the cross correlation of X and Y for LAG = -5, 0, 1, 5, 6, 7

lag = [-5, 0, 1, 5, 6, 7]

result = C_CORRELATE(X, Y, lag)

PRINT, result

IDL prints:

-0.428246  0.914755  0.674547  -0.405140  -0.403100  -0.339685

See Also

A_CORRELATE , CORRELATE , M_CORRELATE , P_CORRELATE , R_CORRELATE